Delta E i czerwony

Kalibratory, procedura kalibracji, warunki miejsca pracy, baza profili monitorów.
Awatar użytkownika
Tom01
Kontakt:
Lokalizacja: Białystok-Warszawa
Posty: 16523
Rejestracja: 09 listopada 2009, 20:58 - pn

Re: Delta E i czerwony

19 kwietnia 2015, 01:16 - ndz

Proszę zauważyć, że target "web" jest oparty o sRGB a naturalny o pełną przestrzeń monitora i wówczas pojawia się zwiększony błąd.
Tom01
Masz problem z kolorem, wal śmiało!

monitory.mastiff.pl
*** 30 lat obecności w branży monitorowej

Partner Eizo Nanao, Sharp NEC Display Solutions
tel. (+48) 690 660 770, tech. (+48) 601 888 312
https://monitory.mastiff.pl
e-mail: color@mastiff.pl
bodzio
Posty: 18
Rejestracja: 16 kwietnia 2015, 06:45 - czw

Re: Delta E i czerwony

19 kwietnia 2015, 14:32 - ndz

Jeszcze jedno pytanie, czy wogóle w takiej sytuacji można domniemywać że z monitorem jest coś nie tak? czy tylko wina kalibratora i jego uszkodzenie?
Awatar użytkownika
Tom01
Kontakt:
Lokalizacja: Białystok-Warszawa
Posty: 16523
Rejestracja: 09 listopada 2009, 20:58 - pn

Re: Delta E i czerwony

19 kwietnia 2015, 15:36 - ndz

Raczej nie jest to wina monitora. Czujnik przy szerokim gamucie daje większe błędy niż przy wąskim, więc wygada mi to na wadę czujnika. Swoją drogą też rzadki przypadek, bo I1 D3 to raczej niezawodne urządzenie.
Tom01
Masz problem z kolorem, wal śmiało!

monitory.mastiff.pl
*** 30 lat obecności w branży monitorowej

Partner Eizo Nanao, Sharp NEC Display Solutions
tel. (+48) 690 660 770, tech. (+48) 601 888 312
https://monitory.mastiff.pl
e-mail: color@mastiff.pl
colorFREAK
Posty: 17
Rejestracja: 02 października 2013, 14:46 - śr

Re: Delta E i czerwony

20 kwietnia 2015, 16:18 - pn

X-Rite ma obsługę gwarancyjną, którą należy załatwiać bezpośrednio z X-Rite, tzw. gwarancja producenta.
Sprzedawca tak, czy siak się kontaktuje z X-Rite w każdej sprawie gwarancyjnej.

Jeśli z kalibratorem jest coś nie tak, to zapewne wymienią na nowy bez żadnego problemu.

Tutaj znajdziesz formularz zgłoszeniowy:
http://support.xritephoto.eu/pl/raise-a-support-case/

p.s.

Masz jakiś wzorzec ColorChecker (passport) lub wydruk próbny/referencyjny na którym jesteś w stanie wizualnie ocenić czy czerwony odbiega?

Mozna zrobić jeszcze kalibrację i walidację innym softem:
- i1Profiler dołączonym do kolorymetru i wykonać walidację z poziomu i1Profiler
- Pobrać werjse próbną basICColor display 5 i wykonać kalibrację i walidację
http://www.basiccolor.de/basiccolor-display-5-en/
Awatar użytkownika
Czornyj
Kontakt:
Lokalizacja: Kraków
Posty: 4445
Rejestracja: 16 listopada 2009, 14:38 - pn

Re: Delta E i czerwony

20 kwietnia 2015, 18:13 - pn

Mz. jest arcymało realne by był to problem z sensorem, to raczej wina oprogramowania, grafiki lub kabla. Niestabilny sensor siałby po całej walidacji, lub po części zostawiając ślad dryftu - a nie akurat wariując przy jednej próbce.
bodzio
Posty: 18
Rejestracja: 16 kwietnia 2015, 06:45 - czw

Re: Delta E i czerwony

20 kwietnia 2015, 19:13 - pn

zgłosiłem przez podany w linku formularz, no zobaczy się, wzorca nie mam żeby ocenić jak odbiega a może być to też kabel od kalibratora bo w środku nitki są bardzo poskręcane i widze tez leciutkie przetarcie izolacji przy wtyczce usb.
colorFREAK
Posty: 17
Rejestracja: 02 października 2013, 14:46 - śr

Re: Delta E i czerwony

20 kwietnia 2015, 19:37 - pn

Ustaw monitor w tryb fabryczny Adobe RGB i wykonaj programową kalibracje przy użyciu i1Profiler. Wejdź w walidację i sprawdź jakie wychodzą odchyłki na pomiarach wówczas będziesz wiedział, czy sieje po całości czy jest problem z jednym walorem. Lepiej zawsze jest zrobic testy krzyzowe z uzyciem innego softu i innego czujnika jesli to mozliwe. Jeśli uszkodzenie jest mechaniczne kabla lub innego rodzaju serwis skasuje Cię za czynności serwisowe nie podlegające gwarancji + odesłanie kalibratora.
unesco
Posty: 456
Rejestracja: 05 kwietnia 2014, 09:16 - sob

Re: Delta E i czerwony

22 kwietnia 2015, 21:08 - śr

Możesz jeszcze spróbować innej (starszej/nowszej) wersji CN. I oczywiscie innch sostó do kalibracji.
6D & LX100, CX240, SC-P800, ESP3880, i1DisplayPro, CMP
bodzio
Posty: 18
Rejestracja: 16 kwietnia 2015, 06:45 - czw

Re: Delta E i czerwony

22 kwietnia 2015, 21:17 - śr

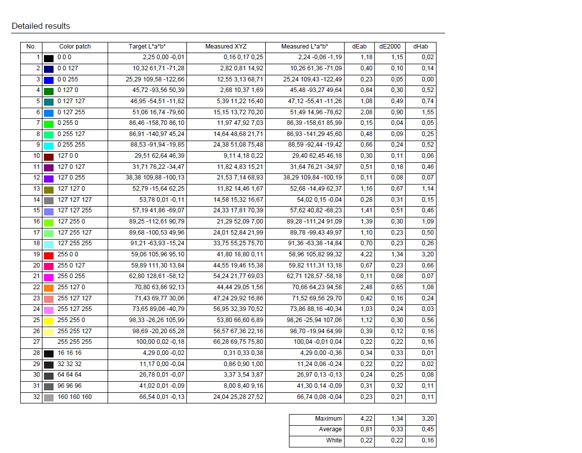
Wypozyczylem dzisiaj kalibrator żebym miał porównanie... i niesteyt to nie zadne inne cuda ale walnięta moja sztuka. Zrobiłem teraz kalibracje i deltaE na czerownym 0,4... najwieksza lekko ponad 2 jest na ciemnym niebieskim ale takich odchyłów powyżej 4 nie ma. Zrobiłem to zgłoszenie przez formularz xrite photo ale cisza jest...
Awatar użytkownika
mkoper
Kontakt:
Posty: 46
Rejestracja: 01 października 2013, 21:26 - wt

Re: Delta E i czerwony

24 kwietnia 2015, 08:31 - pt

bodzio pisze:Wypozyczylem dzisiaj kalibrator żebym miał porównanie... i niesteyt to nie zadne inne cuda ale walnięta moja sztuka. Zrobiłem teraz kalibracje i deltaE na czerownym 0,4... najwieksza lekko ponad 2 jest na ciemnym niebieskim ale takich odchyłów powyżej 4 nie ma. Zrobiłem to zgłoszenie przez formularz xrite photo ale cisza jest...
A ja śmiem wątpić w to że coś jest walnięte. Moim zdaniem, po prostu problem u Ciebie nie istnieje w ogóle, zaś różnice w wynikach są normalne w Twoim przypadku. Używasz taniego, amatorskiego kolorymetru, więc nie ma co się dziwić, że inna sztuka generuje inne rezultaty dla czerwieni.

Po pierwsze w raporcie z kalibracji (http://mva.pl/download/file.php?id=457) widzę, że zadany punkt bieli to 6500K (0,3127; 0,3290) zaś z walidacji (http://mva.pl/download/file.php?id=458) wynika zupełnie coś innego. Tam dla czystej bieli zadana (target Lab) jest wartość (100; 0,2; -0,18) co przelicza się na xyY (0,3457; 0,3581). To z kolei odpowiada prawie idealnie "drukarskiemu" punktowi bieli D50 (0,3456; 0,35850). Ktoś mógłby potwierdzić, że walidacja innego profilu niż ten do którego został skalibrowany monitor jest poprawną czynnością programu?

A teraz dlaczego nie uważam, żeby był problem - zwróć uwagę na to, że zapis dE(00) (przy którym wartość błędu = 4,22) oznacza kalkulację delty wg. formuły CIE1976. Ta formuła miała to do siebie, że generowała wyższe błędy od nowszych wzorów, dlatego jej wartość JND (najmniejsza zauważalna różnica) wynosiła aż 2,3. Bardziej powinieneś sugerować się dE2000, która to jest równa 1,34 zatem nie budzi kontrowersji. Fakt, że jest to wyższa wartość niż na innych próbkach, co wskazuje na gorszą liniowość monitora w tym obszarze barw, ale zbyt mała by rodzić problem.

P.S. Gdyby Twój sensor był uszkodzony to powinien siać błędy systematyczne, a co za tym idzie nie wyszłyby one w walidacji jego pracy nim samym. Jak chcesz poznać rozrzut Twoich dwóch kolorymetrów to zwaliduj pracę jednego drugim, ale nie wiem czy Ci coś to da, bo x-rite i1 Display Pro to nie jest żaden sprzęt któremu się ufa.

P.S.2. Twój przypadek jest modelowym, dlaczego uważam, że graficy nie powinni kupować kolorymetrów i brać się samodzielnie za kalibrację. Zobacz ile straciłeś czasu na prowadzenie tego wątku na forum, podczas gdy mógłbyś go produktywnie wykorzystać. Po drugie nadal nie wiesz, czy masz dobrze skalibrowany monitor, bo niskie błędy przy walidacji nie gwarantują Ci absolutnie niczego, a inny pomiar drugim kolorymetrem wprowadza dodatkowy zamęt.
Zamiast inwestować prawie 1000zł w sensor mogłeś zainwestować mniej jak połowę tego w usługę i zaprosić na kalibrację Czornyja, Mnie, albo Tom'a01. Raz, że miałbyś pewność, że jest to zrobione dobrze (mamy znacznie lepsze urządzenia w swoich walizkach i duży bagaż doświadczenia), dwa nie traciłbyś czasu. http://mva.pl/viewtopic.php?f=21&t=1827
Awatar użytkownika
Tom01
Kontakt:
Lokalizacja: Białystok-Warszawa
Posty: 16523
Rejestracja: 09 listopada 2009, 20:58 - pn

Re: Delta E i czerwony

24 kwietnia 2015, 09:55 - pt

mkoper pisze:nie ma co się dziwić, że inna sztuka generuje inne rezultaty dla czerwieni.
Maćku, ostatnio z ciekawości rozpakowałem 15 szt I1 D3 i wszystkie pokazywały podobnie. Oczywiście rozrzut jest, może nawet jak znajdę czas, zamieszczę wyniki porównawcze na forum, ale na pewno nie było odskoków dE=4.
Tom01
Masz problem z kolorem, wal śmiało!

monitory.mastiff.pl
*** 30 lat obecności w branży monitorowej

Partner Eizo Nanao, Sharp NEC Display Solutions
tel. (+48) 690 660 770, tech. (+48) 601 888 312
https://monitory.mastiff.pl
e-mail: color@mastiff.pl
Awatar użytkownika
mkoper
Kontakt:
Posty: 46
Rejestracja: 01 października 2013, 21:26 - wt

Re: Delta E i czerwony

24 kwietnia 2015, 10:46 - pt

Zrobić taki eksperyment i nie opublikować rezultatów to grzech ;)
Zwracam tylko, ponownie, uwagę, że dE(00) = 4, a dE2000 = 4 to dwa różne światy. O ile ten drugi wynik świadczyłby, że i1D3 jest naprawdę kiepskim sensorem, tak pierwszy byłby do przełknięcia przy takiej cenie sensora.

Wróć do „Kalibracja monitorów”

Kto jest online

Użytkownicy przeglądający to forum: Obecnie na forum nie ma żadnego zarejestrowanego użytkownika i 1 gość

Zaloguj się · Zarejestruj się

Informacje

Jest 6 użytkowników online :: 5 zarejestrowanych, 0 ukrytych i 1 gość
Zarejestrowani użytkownicy: Ahrefs [Bot], Bing [Bot], Google [Bot], Google Adsense [Bot], Semrush [Bot]
Najwięcej użytkowników (76) było online 24 kwietnia 2022, 10:40 - ndz
Liczba postów: 70133
Liczba tematów: 4226
Liczba użytkowników: 4012
Ostatnio zarejestrowany użytkownik: Krzkrk
Nikt dzisiaj nie obchodzi urodzin

Wybór stylu